library(tidyverse)── Attaching core tidyverse packages ──────────────────────── tidyverse 2.0.0 ──
✔ dplyr     1.1.4     ✔ readr     2.1.5
✔ forcats   1.0.0     ✔ stringr   1.5.1
✔ ggplot2   3.5.2     ✔ tibble    3.3.0
✔ lubridate 1.9.4     ✔ tidyr     1.3.1
✔ purrr     1.1.0     
── Conflicts ────────────────────────────────────────── tidyverse_conflicts() ──
✖ dplyr::filter() masks stats::filter()
✖ dplyr::lag()    masks stats::lag()
ℹ Use the conflicted package (<http://conflicted.r-lib.org/>) to force all conflicts to become errorslibrary(faraway)
library(patchwork)
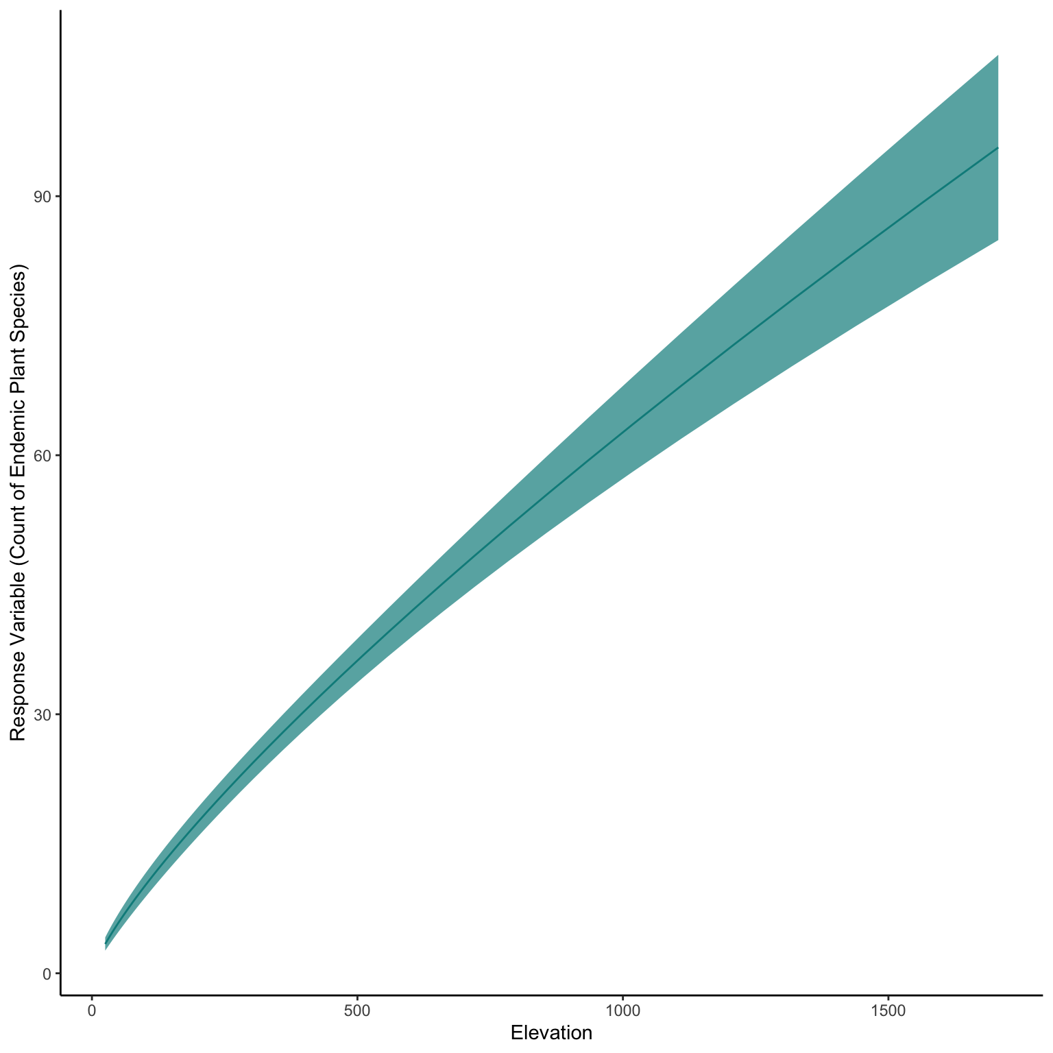
data("gala")
glimpse(gala)Rows: 30
Columns: 7
$ Species   <dbl> 58, 31, 3, 25, 2, 18, 24, 10, 8, 2, 97, 93, 58, 5, 40, 347, …
$ Endemics  <dbl> 23, 21, 3, 9, 1, 11, 0, 7, 4, 2, 26, 35, 17, 4, 19, 89, 23, …
$ Area      <dbl> 25.09, 1.24, 0.21, 0.10, 0.05, 0.34, 0.08, 2.33, 0.03, 0.18,…
$ Elevation <dbl> 346, 109, 114, 46, 77, 119, 93, 168, 71, 112, 198, 1494, 49,…
$ Nearest   <dbl> 0.6, 0.6, 2.8, 1.9, 1.9, 8.0, 6.0, 34.1, 0.4, 2.6, 1.1, 4.3,…
$ Scruz     <dbl> 0.6, 26.3, 58.7, 47.4, 1.9, 8.0, 12.0, 290.2, 0.4, 50.2, 88.…
$ Adjacent  <dbl> 1.84, 572.33, 0.78, 0.18, 903.82, 1.84, 0.34, 2.85, 17.95, 0…









